如果您正在尋找相關產品或有其他問題,可隨時撥打公司服務熱線,或點擊下方按鈕與我們在線交流!
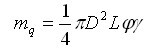
球磨機內裝球量的多少及各種介質直徑的配比,對球磨機磨礦效率有著非常重要的影響。球磨機裝球量過少,會使球磨機磨礦效率降低;球磨機裝球量過多,內層球運動時則會產生干涉作用,破壞了球磨機球的正常拋落運動,使球磨機球在下落時沖擊能量減少,球磨機磨礦效率因此降低。裝球量的多少不僅與球磨機筒體的有效容積有關,而且也與球磨機的轉速有直接關系。一般情況下,在球磨機筒體轉速一定的前提下,裝球量達到某一值時,能獲得**生產率。球磨機的裝球量可按下式計算:

公式中: D ——球磨機筒體的有效直徑,m
L ——球磨機筒體的有效長度,m
φ——球磨機粉磨介質的充填率
γ——球磨機粉磨介質的堆密度,此處,鍛造鋼球取4.5t/m3
另外,球磨機介質填充率對出料粒度影響很大,當球磨機介質充填量高時出料粒度明顯變細;反之,球磨機出料粒度變粗。在實際生產中,為適應球磨機不同處理能力要求,可以把充填率做為調整球磨機產量的主要手段之一。球磨機主要表現為:來自不同采區或同一采區不同采段的礦石,可磨性存在很大的差異,球磨機人工操作已經難以識別和作出相應操作以適應礦石性質的變化,導致生產率降低,消耗增大,對于貧、難、雜礦石這一問題尤為突出。其次,球磨機相關性*強的眾多過程變量,如原礦性質、給礦量、磨礦濃度、數量、水壓等;一種變量的波動會引起其他變量乃至整個作業的改變;還有,球磨機非自動化操作時人為干擾因素多,主要起因于球磨機操作者的素質和技術水平。由于球磨機操作不及時而引起的任何問題,都不僅直接影響該作業或回路,甚至影響整個選礦廠的經濟技術指標。購買熱線:0086-0371-55902868。